Looking for a simple and free solution to create a will? DuckDuckGo offers a free printable will template that you can easily customize to suit your needs. This user-friendly tool is perfect for those who want to plan for the future without breaking the bank.
Creating a will is an important step in ensuring that your assets are distributed according to your wishes after you pass away. With DuckDuckGo’s free printable will template, you can specify how you want your property and possessions to be divided among your loved ones. It’s a quick and easy way to get your affairs in order.
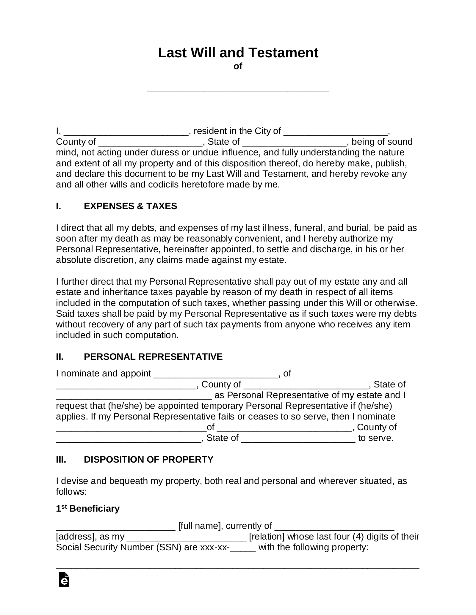
Duckduckgo Free Printable Will Template
Duckduckgo Free Printable Will Template
Simply download the template, fill in your personal information, and outline your instructions for distributing your assets. You can also designate guardians for your children, specify funeral arrangements, and appoint an executor to carry out your wishes. The template is customizable and can be tailored to meet your specific needs.
By using DuckDuckGo’s free printable will template, you can save time and money on legal fees. While it’s always recommended to consult with a lawyer for complex estate planning needs, this template is a great starting point for those with straightforward wishes. Take the first step towards securing your legacy by creating a will today.
Don’t put off creating a will any longer. With DuckDuckGo’s free printable will template, you can take control of your future and ensure that your loved ones are taken care of. Download the template, fill it out, and rest easy knowing that your wishes will be honored when the time comes.
Blank Last Will And Testament Template In Google Docs Word Download Template
Free Last Will And Testament Templates To Edit Online
Editable Last Will And Testament Templates In Google Docs To Download
Printable Will And Testament Template In Google Docs Word PDF Download Template
Free Last Will And Testament Will PDF Word EForms




