If you’re looking for a fun and interactive way to practice calculus, look no further! Free printable calculus worksheets are a great resource for students of all levels.
Whether you’re studying limits, derivatives, or integrals, these worksheets cover a wide range of topics to help you sharpen your calculus skills in an enjoyable way.
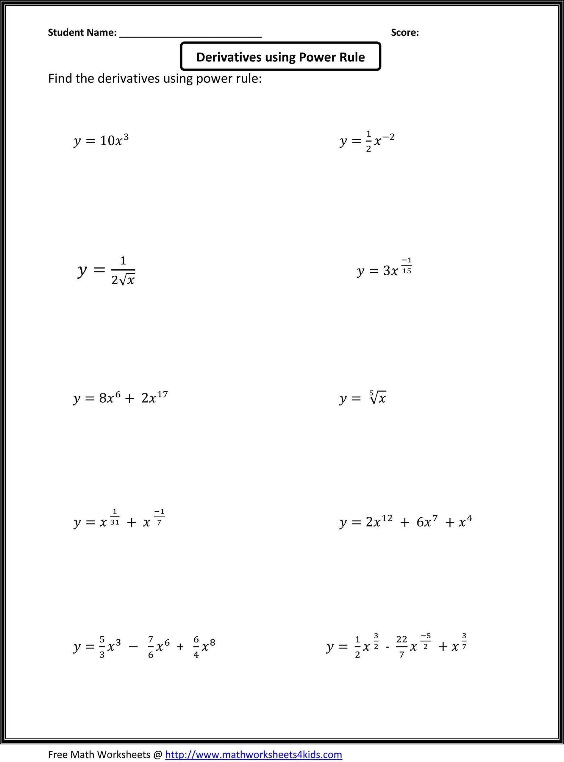
Free Printable Calculus Worksheets
Free Printable Calculus Worksheets
From basic calculus concepts to more advanced problem-solving exercises, these worksheets are designed to cater to the needs of both beginners and experienced learners.
With clear instructions and detailed solutions provided, you can easily track your progress and identify areas where you may need additional practice.
So why wait? Start exploring the world of calculus with these free printable worksheets today and take your math skills to the next level!
Remember, practice makes perfect, and these worksheets are here to help you become confident in tackling any calculus problem that comes your way. Happy learning!
Free Printable Customizable Math Worksheet Templates Canva
Free Math Worksheets
Calculus Related Factoring Printable MySchoolsMath Worksheets Library
50 Calculus Worksheets On Quizizz Free U0026 Printable Worksheets Library
Calculus Worksheets Basic Concepts In Differentiation And Worksheets Library




