Having a newborn baby is an exciting time for any parent, but it can also come with its challenges. One concern that many new parents have is their baby’s weight loss in the first few days or weeks of life. Understanding what is normal and when to seek help is essential.
It is common for newborns to lose weight in the first week of life. This is usually due to the loss of excess fluid and meconium, the baby’s first stool. However, if a baby loses more than 7% of their birth weight, it may indicate a feeding issue or other problem that needs attention.
Newborn Weight Loss Chart
Newborn Weight Loss Chart
Monitoring your baby’s weight in the first few weeks is crucial. A newborn weight loss chart can help you track your baby’s progress and ensure they are growing and thriving as they should. Your pediatrician can provide you with a chart and guide you on what to look for.
If you notice that your baby is not gaining weight or is losing more than the recommended amount, it is essential to consult with your pediatrician. They can help determine the cause of the weight loss and recommend appropriate interventions to support your baby’s growth and development.
Remember, every baby is unique, and weight loss in the first few days is not uncommon. However, staying informed and seeking help when needed is essential for your baby’s health and well-being. By using a newborn weight loss chart and working closely with your healthcare provider, you can ensure that your baby is on the right track.
Understanding newborn weight loss is an important part of caring for your baby. By staying informed and seeking help when needed, you can ensure that your little one is healthy and thriving. Keep an eye on your baby’s weight and consult with your pediatrician if you have any concerns. Your baby’s health is worth it!
Baby Weight Gain Tracker Clearance
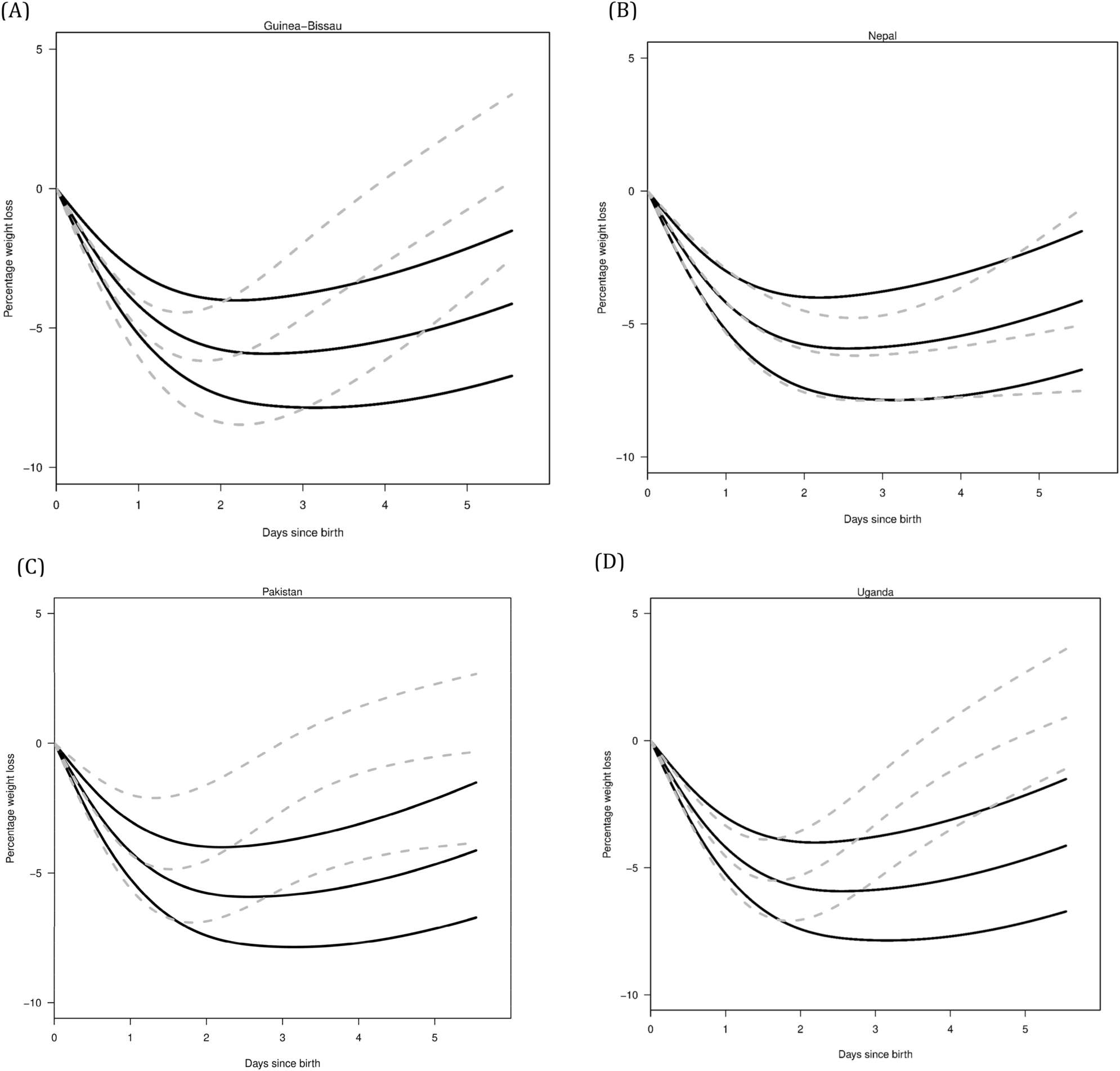
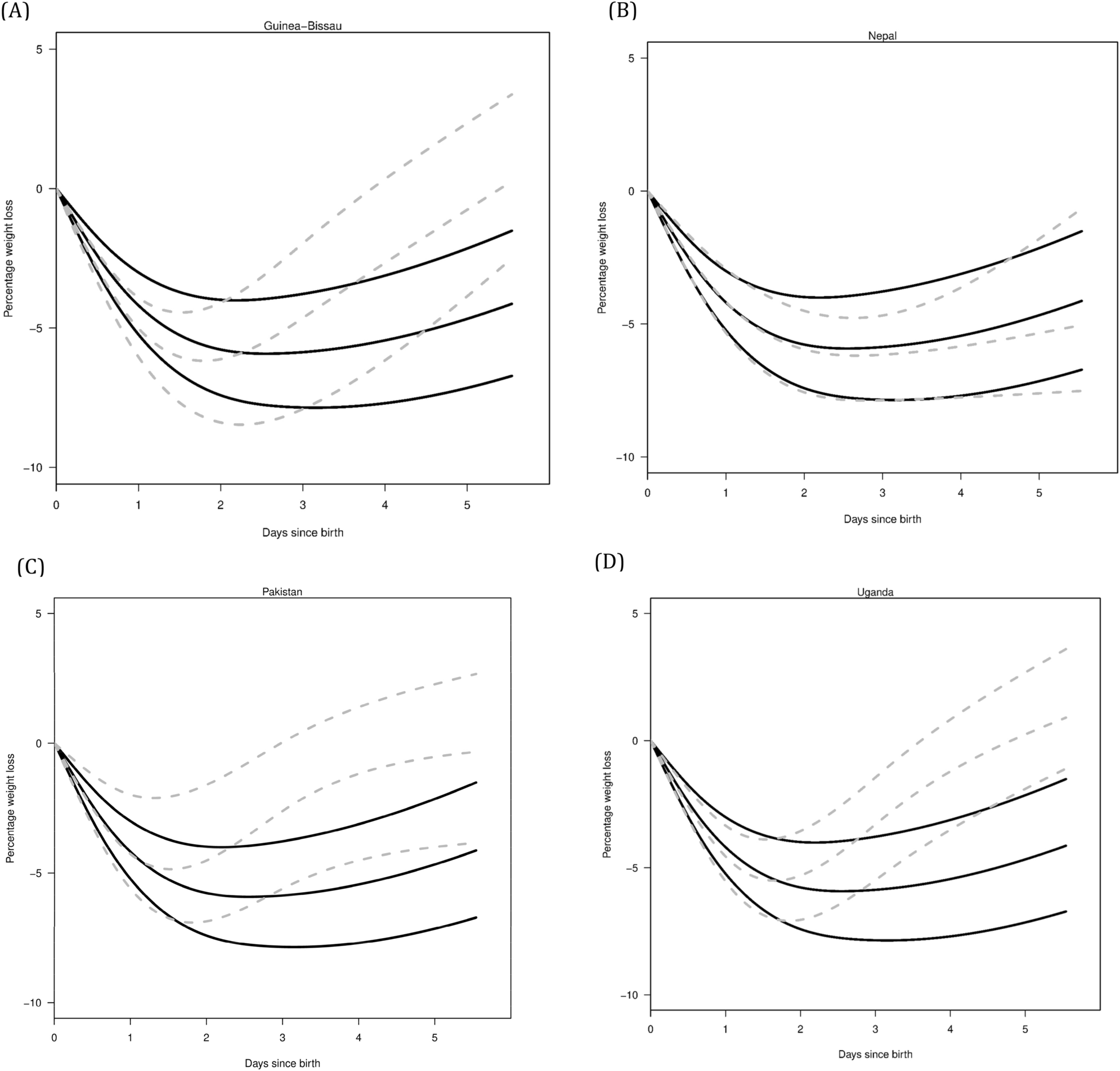
Newborn Weight Nomograms In Selected Low And Middle income Countries Scientific Reports
When Weight Loss Isn t A Good Thing Neonates In The ED Growth U0026 Feeding RCEMLearning
Understanding Your Baby s Weight Gain In The First Year The Lactation Collection
Postnatal Maximal Weight Loss Fluid Administration And Outcomes In Extremely Preterm Newborns Journal Of Perinatology



