If you’ve ever struggled with finding the right ring size, you’re not alone! It can be tricky to figure out the perfect fit, especially when shopping online.
But fear not, we’ve got you covered with a handy solution – a Printable Ring Size Conversion Chart! This nifty tool will help you determine your ring size with ease.
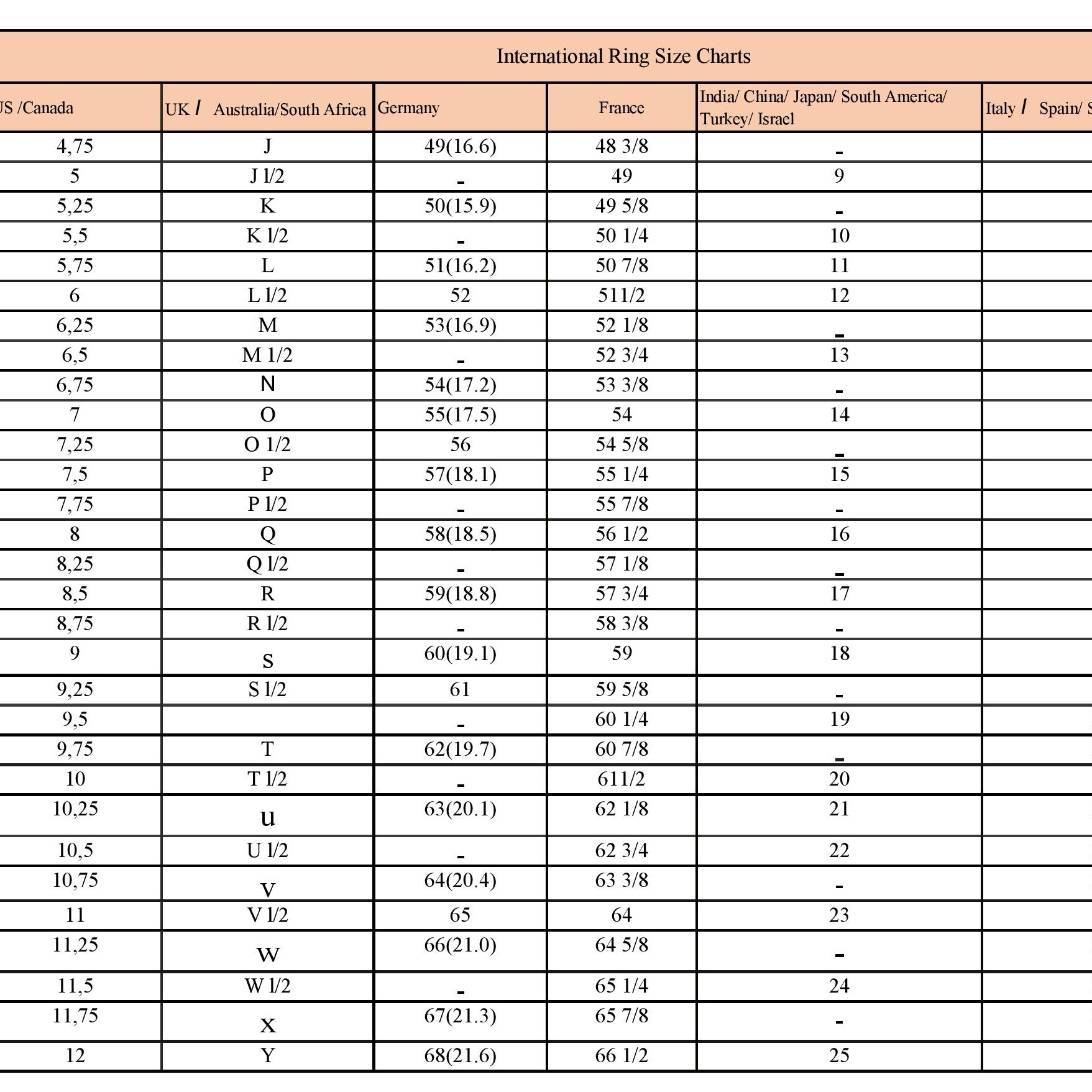
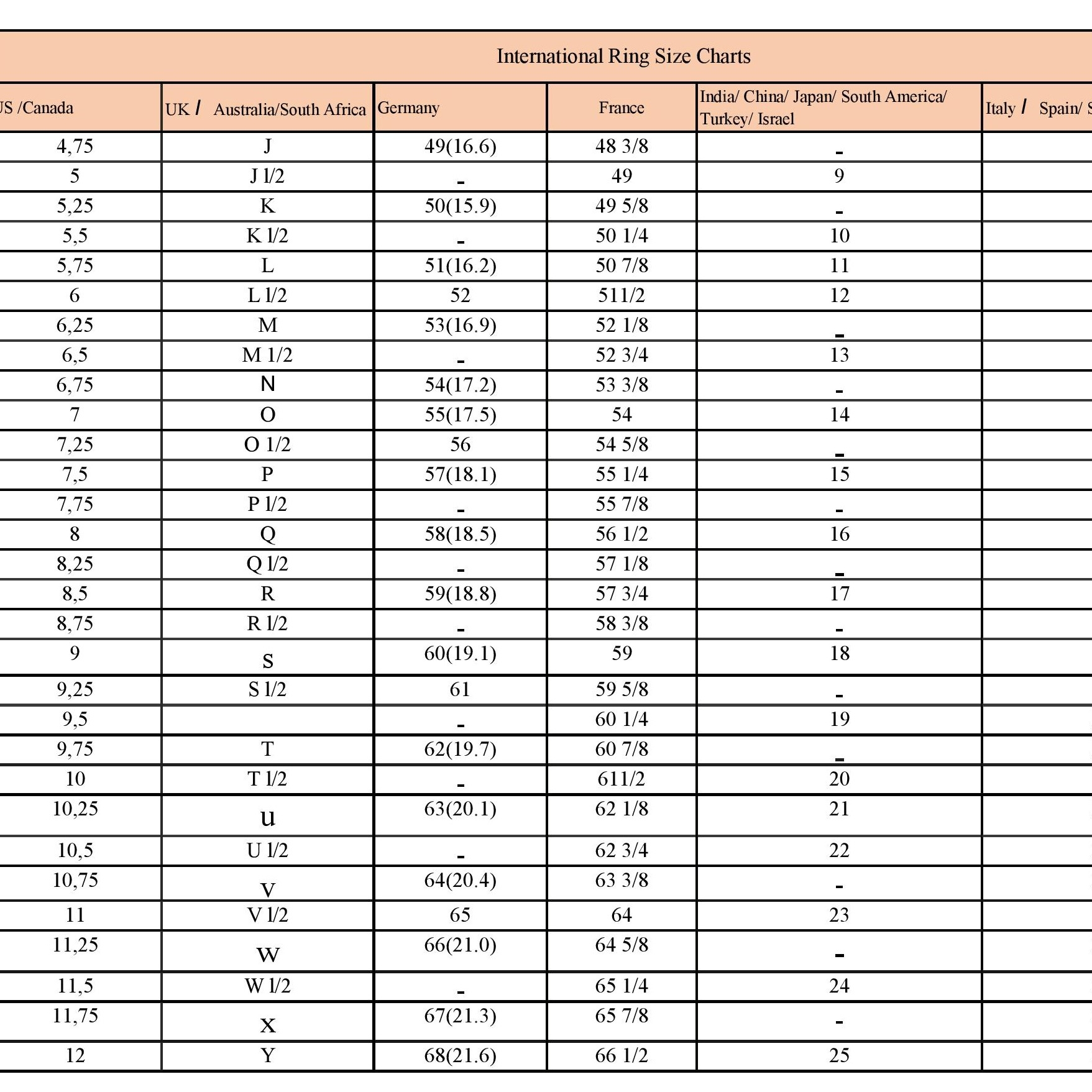
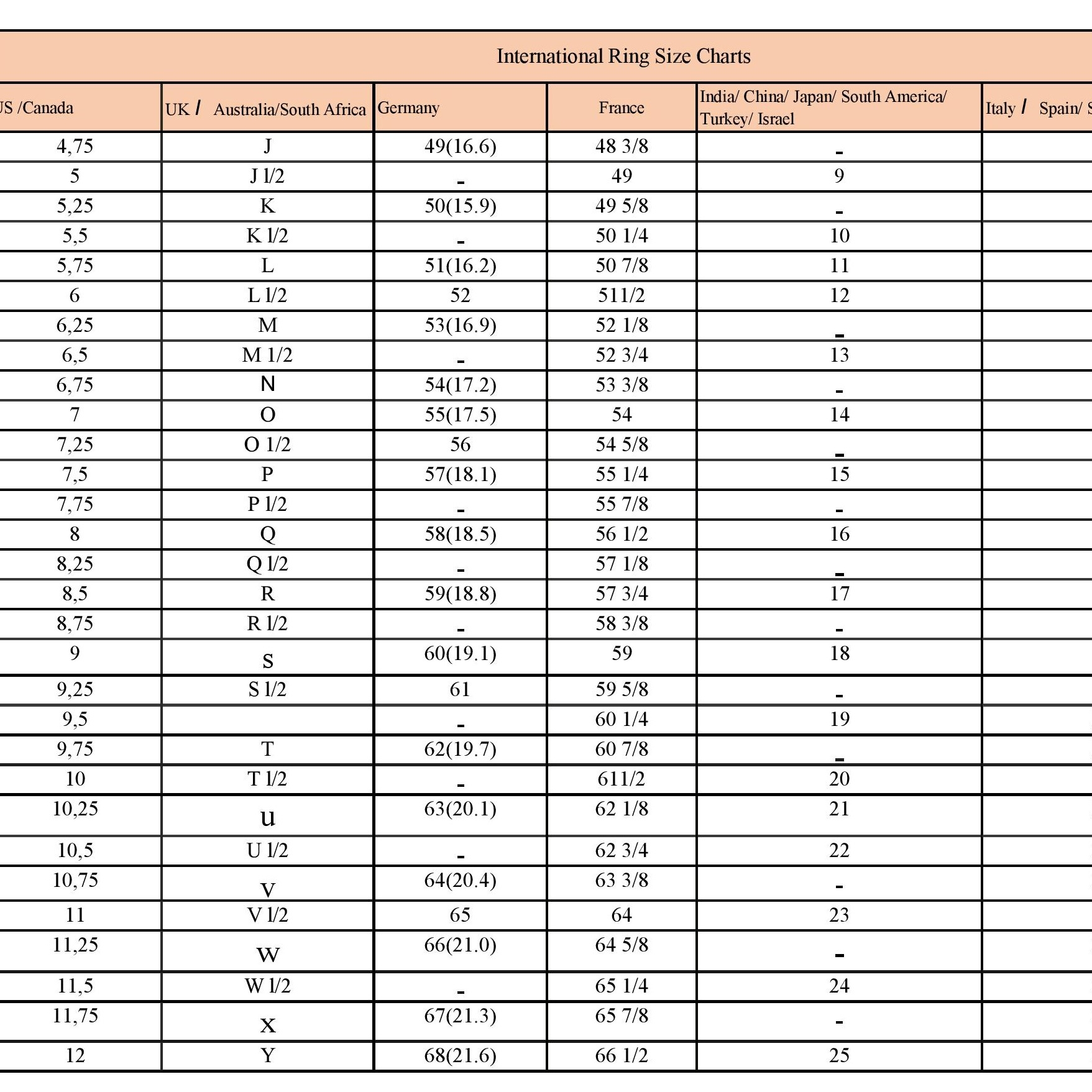
Printable Ring Size Conversion Chart
Printable Ring Size Conversion Chart
Simply download and print the chart, follow the instructions, and voila! You’ll have your accurate ring size in no time. Say goodbye to guessing and hello to the perfect fit every time.
Whether you’re treating yourself to a new ring or shopping for a special someone, having the right size is essential. With this Printable Ring Size Conversion Chart, you can shop confidently and avoid any sizing mishaps.
No more awkward returns or resizing trips to the jeweler. This chart takes the guesswork out of ring sizing, making your shopping experience smooth and stress-free. It’s like having a personal ring-sizing assistant right at your fingertips!
So next time you’re in the market for a new ring, remember to use the Printable Ring Size Conversion Chart for a hassle-free shopping experience. Finding the perfect fit has never been easier!
Don’t let ring sizing woes get in the way of enjoying beautiful jewelry. Download the Printable Ring Size Conversion Chart today and say hello to perfectly fitting rings every time!
Finger International Ring Size Conversion Finger Ring Size Uk To Usa Printable Ring Sizer Accurate Ring
Printable Ring Sizer Ring Size Inches Printable Measuring Tool International Ring Size Chart Measure Ring Size Instant Download Etsy Israel
Conversion Chart Online Ring Sizer Using Ring Printable Ring Sizer Ring Size Finder Ring Size Measurin
Printable Ring Size Chart Lukas Casting House
Printable Ring Size Chart Find Your Ring Size Easy World Of Printables




